Non-Inertial reference frames
Recall: an inertial reference frame is at rest or moves with a constant velocity & newtons laws are valid
- Non-inertial reference frame:
- Rotating Reference frame
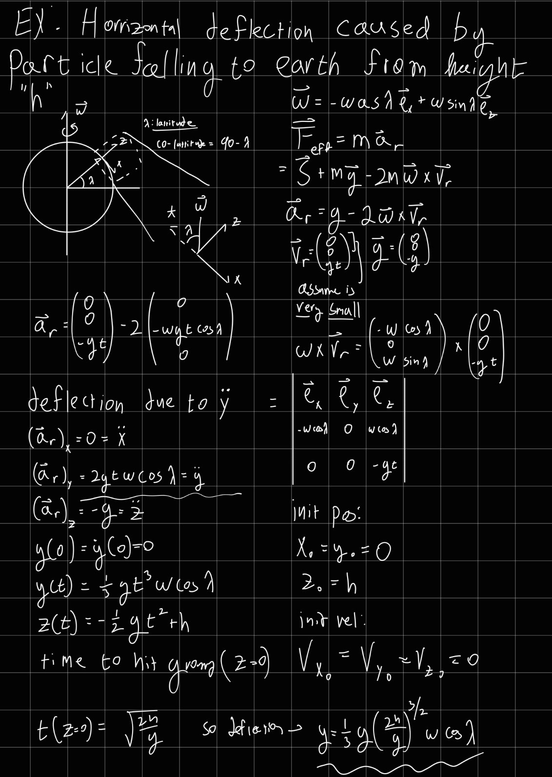
- WWII Artillerymen had to account for the spin of the earth to accurately hit their targets
- Rotating Reference frame
Rotating coordinate systems: Example: Rotating reference frame on earth compared to stationary reference frame
From last time:
Where
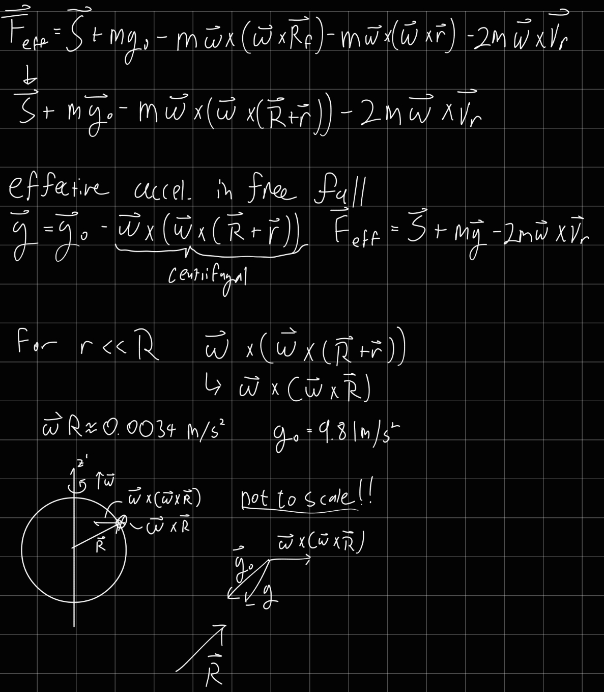
Using Newtons Second Law:
In which the first term on the RHS is , the acceleration relative to the origin. The second term becomes
The third term remains the same, angular velocity is the same, and the forth term becomes
Putting this all together we get
Using this we can find force measured in the fixed frame
Finding the force measured in the rotating frame
What each term represents in physical quantities
- is the translation of the rotating frame relative to the fixed frame
- is the angular acceleration of the coordinate system
- is the centrifugal “force”
- is the Coriolis force

Forces in the fixed frame
where
See HW 8
Gravity is different across the world based on lattitudes

For the earth,
and
