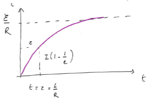
An RL circuit is a circuit with a resistor and an inductor in series. Same as above RC circuit, but replacing the capacitor with an inductor.

- We “start” this system the same way as the last system, by flipping the switch to the “A position”.
- We can once again use the loop rule, as denoted by the purple rectangle in the figure above. We are going from the negative to the positive terminal on the battery. Loop Rule for this:
Change of variable Then integrate:
For initial conditions and
