Transient Circuits
- We have seen several different circuit components (capacitors, inductors, resistors)
The three formulas above give us the EMF for inductors, resistors and capacitors respectively. The relation between potential and current give us
Inductance is based on Lenz’s Law.
RC Circuit
The RC circuit is composed of a resistor, a switch and a capacitor. The switch controls flow from the battery to the resistor and capacitor that are wired in series.

1). Turn circuit “on” by switching S to the “a” position. 2). Write potential for each element 3). Write loop rule paying attention to signs.
Using the above two we can use the loop rule, as depicted by the purple rectangle in the figure above. This yields the below equation.
“so a couple questions…”
“*cutting off prof* so it alternates from positive to negative”
Rewriting the above equation in terms of charge instead of current yields the below:
Then we can integrate:
Letting so
“can we use stuff we learned in DiffEq to solve these problems?”
“i draw arrows okay?”
Initial conditions: Uncharged capacitor at
All of the above was about turning the circuit “on”. Now what if we turn the circuit “off”?
We can redo the loop rule again with the switch in the B position after the capacitor is charged:
or
Our capacitor is fully charged at in this case.
RL Circuit
-
An inductor is a device that only has a potential across it when there is a change in current. An inductor generates a magnetic field if you have a change in current. With a constant current, the inductor does nothing. No potential difference no change in current and vise versa
-
See last lab, we applied triangle wave across inductor, when current increased potential was negative across inductor.
-
The sign of the potential drop is in such a way as to oppose the change. The inductor attempts to “maintain” the current as it was previously.
- Increasing current ⇒ negative potential and vise versa
-
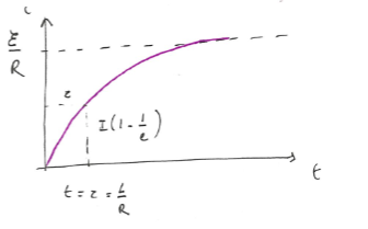
An RL circuit is a circuit with a resistor and an inductor in series. Same as above RC circuit, but replacing the capacitor with an inductor.
-

-
We “start” this system the same way as the last system, by flipping the switch to the “A position”.
-
We can once again use the loop rule, as denoted by the purple rectangle in the figure above. We are going from the negative to the positive terminal on the battery. Loop Rule for this:
Change of variable Then integrate:
For initial conditions and

LC Circuit
LC Circuit consists of a charged capacitor and an inductor in series
We will once again be using the loop rule for this system:
where This is similar to mass on a spring harmonic oscillations, but the energy storage is all electric and is being transformed into magnetic energy. Cool stuff.
Electric field ⇒ Spring (potential) energy Magnetic field ⇒ Magnetic (kinetic) energy
It is very interesting to see how themes play out throughout physics. The same harmonic oscillation problems also come up in QP1, and I am sure they will appear in IQM and Theoretical Mech.
For our electric system:
“im assuming that if you had all three in a circuit youd get some time of exponential time oscillation”
Useful Summary
Discharging with
Decay with and
with
Energy in capacitor
Energy in inductor
- The maximum energy stored in the inductor is equal to the maximum energy stored in the capacitor. The maxima are out of phase with each other.
“im such a man i have a big truck”
“some people are just less intelligent then other people”